随着有限元技术的发展和用户要求的提高,各大有限元软件都含有流固耦合模块,其主要用于液体、理想气体和JWL 的模拟,本文着重介绍ABAQUS 中理想气体状态方程的功能和应用。
为了验证ABAQUS 理想气体状态方程模拟气体压缩的正确性,首先利用其模拟简单的气体压缩过程,并获得该过程中气体的状态变化曲线(仿真曲线);然后通过Matlab 求解该模型理论上的气体状态方程,并获得数值解(理论曲线)。将仿真曲线和理论曲线进行对比,发现二者非常吻合,证明了ABAQUS 模拟理想气体状态的可信性。在此基础上,将其用在某产品上的流固耦合分析。
在ABAQUS 有限元分析软件中,气体压缩方程为:
其中:Δp:气体压强的增量,初始增量为零,ODB文件输出的压强 pDPa:初始的气体压强,标准大气压为Pa a p 5 1.01310 ´θ:气体温度,初始温度设为20℃,ODB 文件输出的温度 q在分析时,需要在定义系统的绝对零度值,如图1 所示
建立如图2所示的装配图,气体在一个封闭的环境内受到活塞的压缩。假设整个过程没有任何能量的损失,及活塞气体和活塞之间没有热传递,且活塞以一定的速度向前运动。在设置模型过程中,活塞和气体之间的接触通过inp文件的关键字实现,经过实践证明,这样的定义方式可以有效避免气体的泄露。其定义过程为:*******************为气体分配材料属性***********************Initial Conditions, type=VOLUME FRACTIONSet-inner-gas, gas-1.gas-inner, 1.******************定义气体的欧拉接触面*********************Surface, type=EULERIAN MATERIAL, name=inner-gassurface******************定义活塞和气体之间的接触******************inner-gassurface,Surf-contact-huosai***************************************************通过仿真计算后,在压缩结束时刻,气体的压强和温度如图3和图4所示。
上节模拟的气体压缩过程是一个“等熵过程”它的气体状态参数关系为:
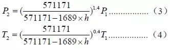
其中k 为等熵指数,这里取k=1.4,T 为绝对温度k。如图2 所示,气体在初始状下体积
,活塞投影面
,代入式(2)后气体压缩理论方程为采集967 号节点的压强和温度,并绘制曲线(仿真曲线)。结合式(3)、(4)、(5)、(6),利用 Matlab 软件绘制出压强增量Δp和气体温度θ与h之间的曲线(理论曲线)。将ABAQUS 的仿真结果和理论计算结果进行对比,二者变化曲线如图5 和图6 所示。
图5 和图6 中蓝线表示的是用气体状态方程计算的气体参数曲线,红线表示的是ABAQUS 有限元软件仿真模拟的参数曲线,从图可以看出,两条曲线基本是重合的,因此ABAQUS 有限元软件在模拟理想气体状态方面具有非常大的可靠性。
某产品的结构如图7 所示,它有筒体、活塞头和筒盖组成,筒内密封有空气。筒盖的材料是一种脆性塑料,筒体和活塞头认为是刚体。当活塞头压缩前面的空气并达到一定的气压时,筒盖就会破裂。利用ABAQUS的流固耦合模块,计算出活塞头移动多少距离时,筒盖会破损。
脆性材料采用Brittle Cracking的失效准则,模拟出筒盖破损的状态如图8所示。
通过计算比较,ABAQUS有限元软件在模拟理想气体状态方程上,有着很高的可信度,它的模拟结果和理论上的状态方程基本重合。因此在实际操作中,结合材料的变形和失效,它可以模拟多种情况下的流固耦合问题。但是,在流固耦合分析中,应尽量细化网格,否则不能真实的模拟由于边界的变形而导致气体形状的改变。
更多仿真分析案例及相关知识技巧,欢迎访问“元王仿真云”(www.featechweb.cn)——集仿真项目咨询,CAE学习培训,设计工具应用,仿真人才招聘、仿真新闻资讯于一体的CAE仿真行业垂直服务平台。服务仿真,助力设计,专业为你!
深圳市有限元科技有限公司(简称元王)成立于2007年,是一家以计算机辅助工程CAE(Computer Aided Engineering)为主业,以工程仿真软件开发为核心,集CAE咨询、CAE培训、CAE软件研发与销售为一体的高科技企业。 依托深厚的CAE技术背景和工程经验,为客户提供高水平的CAE工程咨询服务,为企业创造价值。
