1、引言
目前国内市场上已经出现了2.5MW、3.0MW和5.0MW等大型风电机组。随着风电机组功率等级加大,其内部各零部件所承受的载荷明显增大,风电机组发电机要在各种载荷工况下安全运行,其重要部件必须满足强度要求。发电机作为风电机组的重要部件,其强度对整机的可靠性至关重要。同时,风电机组设计须满足20年的使用寿命,这使得发电机关键零部件的强度设计尤为重要。一方面,发电机部件设计需要满足极限强度要求,另一方面,还需要综合考虑零部件疲劳强度对发电机使用寿命的影响。
在此背景下,以有限元分析、动态设计和抗疲劳设计等为主要内容的现代设计方法在风电机组结构设计中日益得到重视。目前,国内学者在强度研究方面较为典型的研究包括:何玉林等运用风电机组空气动力学、结构动力学、强度分析等理论和现代设计方法,利用有限元分析软件对主机架结构进行了静强度和疲劳寿命分析;杜静等基于风电机组主轴有限元模型,对兆瓦级风电机组主轴疲劳损伤进行了研究,提出了将雨流循环计数法与Palmgren-Miner线性累积损伤理论相结合的主轴疲劳损伤计算方法;王平等应用有限元软件对风电机组的轮毂进行了极限强度和疲劳强度分析,模拟了疲劳载荷和材料的S-N曲线;杨兆忠等以轮毂为例,从极限强度和疲劳寿命两个方面,结合有限元软件对铸件强度进行了校核;姚兴佳等以HyperWorks作为分析平台对轮毂结构进行了优化;沃晓临等采用有限元软件对兆瓦级风电机组轮毂与主轴的连接螺栓做了强度分析,对连接螺栓本身,在极限载荷与疲劳载荷下进行了仿真计算;李超等采用有限元商业软件为工具,对某兆瓦级风电机组机舱罩的极限强度进行了计算分析。
上述研究集中在风电机组主机架、主轴、轮毂和螺栓等零部件,对于直驱式风电机组发电机部件强度没有做特定分析。发电机部件作为风电机组的重要组成部分,在大功率化趋势下其部件强度研究对整机安全性和可靠性不可或缺。本文建立某2.0MW直驱式发电机的有限元模型,将综合应用有限元软件和疲劳分析软件分析校核电机转轴、定轴及转子支架的极限强度和疲劳强度。根据GL2010认证规范,推导了电机转轴、定轴及转子支架的S-N曲线表达式。
2、发电机主轴极限强度分析
(1)有限元模型建立
某2.0MW直驱发电机由转轴、定轴及转子支架等部分组成。利用三维建模软件建立几何模型,在建模过程中,需对强度影响很小的特征,如小的倒角、凸台等进行简化。其后将几何模型导入专业的有限元前处理软件进行网格划分,以建立分析所需的有限元模型。根据直驱发电机的结构特点,基于HyperMesh软件对发电机的主要结构采用实体单元离散。各部分均尽可能采用网格协调的方法连接。最终的有限元模型共包含391246个节点,323460个单元,总体与零部件网格模型如图1所示。在模拟回转支承的端面全约束,以消除整个模型的刚体位移。根据GL2010认证规范设定工况和参数,由GHBladed自动输出极限工况和疲劳工况载荷数据,其中共包含16个极限工况和89个疲劳工况。

(a)整体 (b)转轴

(c)转子支架 (d)定轴
(2)极限强度分析
设x,y,z坐标系满足GL2010认证规范的轮毂坐标系要求[11],以FX_min工况为例,它表示在所有计算工况中,施加载荷部位的x方向的代数值最小,其他工况以此类推。各极限工况下主要部件的最大应力值如表1所示。

表1不同极限工况下主要部件最大应力结果统计(单位:MPa)
根据GL2010认证规范,选择材料局部安全系数。发电机转轴和定轴材料为铸钢,屈服极限值随结构尺寸增大而减小,这里取值为300MPa。转子支架为锻件,屈服极限值取为235MPa。各极限工况下转轴、定轴及转子支架的安全系数如表2所示。

表2不同极限工况下主要部件安全系数
转子支架的加强筋上设置的圆孔成为该结构的薄弱环节。由表2可知,转矩是造成结构高应力的主要原因,最大应力值发生在Mz_min工况下,应力值为246.0MPa,大于材料的屈服强度235MPa,转子支架的安全系数小于1,不满足结构强度设计要求。
转子支架结构改进
发电机转子支架不满足结构强度设计要求,故需进行结构优化以满足设计要求。加厚加强筋轮毂侧厚度,由现在的17mm加厚至40mm。只考察转子支架在不同极限工况下应力大小及分布情况。

表3不同极限工况下转子支架分析结果
在转子支架加强筋加厚的条件下,转子支架所受的最大应力小于材料屈服强度,结构安全系数大于1,初步满足发电机部件极限强度设计要求。
3、发电机转轴、定轴及转子支架的疲劳强度分析
(1)发电机部件的S-N曲线
根据GL2010认证规范5.B.2.1所述,材料的典型S-N曲线应作为疲劳分析的基础。但通常情况下,材料的S-N曲线都是用小尺寸光滑圆柱试件在实验室中获得的[10]。在风电机组大型化发展的趋势下,利用小试件试验得到的S-N曲线不能为疲劳寿命的估算提供合理的依据。
在GL2010认证规范中,材料的零件部件设计S-N曲线由三条线段组成,第一段是循环次数小于N1的低周疲劳直线段;第二段是指数斜率为m1,终止于ND的斜线段;第三段是指数斜率为m2的高周疲劳斜线段。
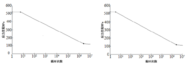
本节将根据GL2010认证规范第五章附录内容给出的风电机组锻造铸钢材料和锻造材料的设计S-N曲线合成方法,通过计算得到发电机各部件的S-N曲线如图2所示。

(a)转轴的合成S-N曲线 (b)定轴的合成S-N曲线

(c)转子支架的合成S-N曲线

(2)发电机部件的疲劳强度
在风电机组零部件结构疲劳强度校核中,通常基于热点(hotspot)法计算疲劳损伤,由于极限工况下的最大应力值点未必是最大累积损伤点,逐点计算难以确定结构的最大损伤位置,从而难以对疲劳分析结果做出合理评价。本节基于疲劳分析软件进行发电机结构的全域损伤值计算,得到全域的损伤分布状况,进而可以合理地对结构强度进行评价。由软件自动进行雨流计数和线性损伤累积,基于HyperView进行结果后处理,得到如图3所示的部件的累积损伤分布图。

(a)转轴的疲劳损伤云图 (b)定轴的疲劳损伤云图

(c)转子支架的疲劳损伤云图

4、结论
本文研究了某直驱式风电机组发电机部件的强度分析方法。首先应用三维建模软件建立了直驱式发电机的几何模型,其后应用HyperMesh软件对模型进行网格划分,得到有限元模型。在此基础上,应用有限元软件分析了直驱式发电机转轴、定轴及转子支架的极限强度。在上述基础上,对不满足极限强度条件的转子支架给出了结构优化方案。参考风电行业的GL2010认证规范计算得到了发电机部件的S-N曲线。基于疲劳分析软件,得到了发电机部件的累积损伤值,并用HyperView软件进行结果后处理。最终得到优化后的发电机部件设计满足强度设计要求。
研究中,HyperMesh软件和HyperView软件为研究分析提供了极大的方便。其中,HyperMesh软件提高了直驱式发电机结构的网格划分的效率和质量。HyperMesh在计算单元质量时,针对不同的求解器,有不同的要求和方法,这为得到高质量的网格单元提供了可能。HyperView能快捷有效地进行极限强度和疲劳强度结果后处理,基于HyperView软件,对其它软件的有限元后处理计算结果进行方便查看而不需要任何设定,由此看出HyperView软件与其它有限元软件有较好的接口。